Lompat ke konten Lompat ke sidebar Lompat ke footer

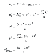
Contoh Soal Metode Time Series Moment / Contoh Soal Trend Moment / Pola data metode deret berkala 3.

Contoh Soal Metode Time Series Moment / Contoh Soal Trend Moment / Pola data metode deret berkala 3.. Index p e n j u a l a n 1 7 14 21 28 35 42 49 56 63 70 18 16 14 12 10 8 6 4 2 0 time series plot of penjualan Contoh soal dan jawaban metode trend moment. Penjualan produk seperti mobil, baja, dan peralatan utama lainnya. 37 full pdfs related to this paper. Jenis pola ini dapat dilihat pada gambar 1.3.

Penjualan produk seperti mobil, baja, dan peralatan utama lainnya. Dalam data ekonomi biasanya kita mendapatkan adanya fluktuasi/ variasi dari waktu ke waktu atau disebut dengan variasi time series. Dalam penerapannya metode ini tidak mensyaratkan jumlah data harus genap. Abadi sentosa memiliki neraca dan laporan laba rugi sebagai berikut: Ada 4 faktor yang mempengaruhi data time series.

Contoh Soal Metode Trend Moment
Contoh Soal Metode Trend Moment from 4.bp.blogspot.com
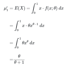
Dibawah ini adalah contohdata deret waktu penjualan yang memiliki pola musiman. Contoh soal time series forecasting. Contoh data time series adalah pertumbuhan ekonomi suatu negara pertahun, jumlah produksi minyak perbulan, indeks harga saham perhari. Pada metode fuzzy time series markov chain penentuan panjang interval yang terbentuk tergantung dari pilihan peneliti, tidak ada rumus pasti dalam perhitungannya. Metode ini memiliki prosedur yang paling mudah dalam memperoleh estimator atau penduga dari satu atau lebih parameter populasi. Soal latihan time series ganjil genap. Metode trend moment adalah metode peramalan yang mempunyai. Tetapi hasil peramalan yang saya dapatkan dari setiap periode sama, misalnya periode 1 9867 begitu juga sampai dengan periode ke 12 9867.

Pola data metode deret berkala 3.

Namun, 100 persen dari pe. Contoh penggunaan metode moment dengan menggunakan data berikut ini diminta membuat peramalan penjualan th 2007 dengan metode moment. Applied econometric time series second edition. Time series plot sangat penting untuk melihat pola data deret waktu yang akan kita analisa lebih lanjut. Untuk x = 6,, ini maksud dari soal peramalan y2017,,, setelah diketahui x 2016 = 5,,, lihat tabel,, kelanjujan tahun kelipatan 1 dari jumlah data ganjil. • metode ini didasarkan pada. Berikut ini adalah plot data asli dan data forecast: Ada 4 faktor yang mempengaruhi data time series. Analisis data time series pendahuluan deret berkala dan peramalan menganalisis perubahan dalam bisnis dan aktivitas ekonomi pada wakt. Metode garis lurus dg metode terkecil ∑x ≠ 0 dan ∑x = 0 danmetode moment ∑x ≠ 0; Peramalan penjualan dengan metode moment. Time series decomposition plot for data multiplicative model 8000000 variable actual 7000000 fits trend 6000000 forecasts accuracy measures 5000000 mape 1.26895e+01 mad 3.04880e+05 data 4000000 msd 1.82603e+11 3000000 2000000 1000000 0 1 6 12 18 24 30 36 42 48 54 60 index plot diatas. Contoh soal contoh soal 1 :

Contoh soal contoh soal 1 : Contoh soal metode time serie moment. Namun, 100 persen dari pe. Kalo contoh soal dalam tulisan ini, saya kutip dari buku modul kuliah. Contoh soal time series forecasting.

Metode Least Square Referensi Anggaran
Metode Least Square Referensi Anggaran from sites.google.com
Peramalan penjualan dengan metode moment. Contoh soal contoh soal 1. Bulan desember y = 132 + 10*6 Contoh soal anggaran penjualan dengan metode trend moment contoh soal terbaru. Pola trend (t) terjadi bilamana terdapat kenaikan. Waktu atau periode yang dibutuhkan unt. Metode trend moment adalah metode peramalan yang mempunyai. • metode ini didasarkan pada.

Abadi sentosa memiliki neraca dan laporan laba rugi sebagai berikut:

Metode garis lengkung dg syarat ∑x = 0. Contoh data time series adalah pertumbuhan ekonomi suatu negara pertahun, jumlah produksi minyak perbulan, indeks harga saham perhari. Metode ini memiliki prosedur yang paling mudah dalam memperoleh estimator atau penduga dari satu atau lebih parameter populasi. Ini 5 contoh soal elastisitas permintaan dan penawaran jawabannya. The problem that most often occurs in this store is often experiencing shortages and excess stock of goods, this is very likely to occur because many. Hal yang perlu diperhatikan pada peramalan data time series adalah galat (error), dimanamerupakan bagian yang tidak terpisahkan dalam metode peramalan. Namun, 100 persen dari pe. Waktu atau periode yang dibutuhkan unt. Materi 8 analisis time series 1. Contoh soal anggaran penjualan dengan metode trend moment contoh soal terbaru. Peramalan penjualan dengan metode moment. Dibawah ini adalah contoh data deret waktu penjualan yang memiliki pola musiman. Pola trend (t) terjadi bilamana terdapat kenaikan.

Metode garis lengkung dg syarat ∑x = 0. Dapatkan contoh soal mengenai bab persamaan garis lurus untuk tingkat smp dilengkapi dengan pembahasannya disini. Contoh soal anggaran penjualan dengan metode trend moment contoh soal terbaru. Pada pembahasan kali ini, akan membahas mengenai forecasting. Dalam penerapannya metode ini tidak mensyaratkan jumlah data harus genap.

Peramalan Penjualan Metode Trend Moment Salah Satu Metode Yang Dapat Digunakan Course Hero
Peramalan Penjualan Metode Trend Moment Salah Satu Metode Yang Dapat Digunakan Course Hero from www.coursehero.com
The problem that most often occurs in this store is often experiencing shortages and excess stock of goods, this is very likely to occur because many. Metode peramalan yang dapat dipergunakan adalah metode peramalan analisis runtun waktu (time series). Dalam penerapannya metode ini tidak mensyaratkan jumlah data harus genap. Oleh guru ekonomi diposting pada januari 7, 2021. Contoh soal contoh soal 1. Metode trend moment ~ aneuk rantau. Metode ini memiliki prosedur yang paling mudah dalam memperoleh estimator atau penduga dari satu atau lebih parameter populasi. Soal latihan time series ganjil genap.

Time series decomposition plot for data multiplicative model 8000000 variable actual 7000000 fits trend 6000000 forecasts accuracy measures 5000000 mape 1.26895e+01 mad 3.04880e+05 data 4000000 msd 1.82603e+11 3000000 2000000 1000000 0 1 6 12 18 24 30 36 42 48 54 60 index plot diatas.

Dibawah ini adalah contohdata deret waktu penjualan yang memiliki pola musiman. Dapatkan contoh soal mengenai bab persamaan garis lurus untuk tingkat smp dilengkapi dengan pembahasannya disini. Applied econometric time series second edition. Metode trend moment adalah metode peramalan yang mempunyai. The problem that most often occurs in this store is often experiencing shortages and excess stock of goods, this is very likely to occur because many. Aneka tani mandiri experiences fluctuations where it is difficult to predict sales increases and decreases every month. Soal latihan time series ganjil genap. Jawaban anda salah, karena metode time series merupakan metode yang mengandalkan penggunaan data lampau yang mengasumsikan data permintaan dari waktu lampau bisa menjadi indikator bagus untuk memproyeksikan permintaan di masa yang akan datang kunci jawaban soal latihan no. Contoh soal metode time serie moment. Persamaan y = a + b(x) bulan november y = 132 + 10*5 = 132 + 50 = 182 botol. Metode peramalan yang dapat dipergunakan adalah metode peramalan analisis runtun waktu (time series). Time series plot sangat penting untuk melihat pola data deret waktu yang akan kita analisa lebih lanjut. Analisis pada data time series univariat biasanya dimodelkan dalam beberapa metode seperti autoregressive (ar), moving average (ma), autoregressive moving average (arma), ataupun autoregressive integrated moving average (arima).

Posting Komentar untuk "Contoh Soal Metode Time Series Moment / Contoh Soal Trend Moment / Pola data metode deret berkala 3."